Relative Response Factor (RRF) Calculation

What is Relative Response Factor and its importance?

  • RRF (Relative Response Factor) is an analytical measure used in chromatographic courses to control impurities/degradants in drug substance and drug product (Ref. (ICH) Q3A R2 recommendations).
  • RRF is mainly used to correct the difference in detector response of impurities with sample (analyte) peak.
  • RRF is calculated by the slope method with a linear range (Linearity) of Sample solutions.
  • Different Pharmacopoeias refer the term RRF differently as described below,

RRF According to United States Pharmacopoeia (USP) :

  • The ratio of the responses of equal amounts of the Impurities and the drug substance is called as Relative response factor (RRF).
  • USP refers RRF as Correction factor (CF) or Response factor (RF) or Relative response factor (RRF).

RRF According to European Pharmacopoeia (Ph.Eur)

  • The Relative detector response factor, usually referred as Response Factor (RF), represents a detector’s sensitivity for a given substance in comparison to a standard substance.
  • The correction factor is reciprocal of the response factor (RF).
  •  Ph.Eur. denotes RRF as Correction factor or Response factor.

RRF As per British Pharmacopoeia (BP)

  • The Response Factor is a relative phrase that describes the response of equal weights of one substance to that of another under the test conditions.
  • BP refers RRF as Response factor (RF).

Why RRF is so important in Chromatogrphay or HPLC ?

  • The establishment of RRF is required,
    • For avoid the stability issues with standards or reference standard,
    • To decrease the cost on the preparation of impurity standards,
    • To lessen maintenance of impurity standards,
    • Difficulty in synthesis and isolation of Impurity Standards, for convenience and time saving.
  • Relative Response factor (RRF) is used in different stages: Phase 1 to Phase 4 studies, in drug purity tests, Mass balance tests, in limit tests, In stability indicating methods etc.
  • Estimation of Relative Response factor (RRF)

Related: Theoretical plate numbers (N) and Determination of “N” in Chromatography

What is a Response Factor (RF)?

  • A response factor (RF) is defined as the ratio between the concentration of a substance that are being analyzed and the response of the detector for that substance.

Response Factor (RF) = Peak Area / Concentration

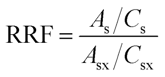
Calculation of Relative Response Factors (RRFs)

Relative Response Factor (RRF) = Response Factor A / Response Factor B

  • RRF can be used for quantitative analysis of Unknown substances by means of known concentration of other substances as per the below equation,

  • Concentration A = (Peak area A / Peak area B)   x  (1 / RRF)   x   (Concentration B)
RRF Calculation
  • RRF is estimated by the Slope Method.

Relative response factor of impurity = [Slope of impurity solution in curve/ Slope of standard     solution in curve]

Calculation of Relative Response Factor (RRF) in Gas Chromatography where, the internal standard used.

Internal Standard (IS)

  • An internal standard (IS) is a compound that is similar in physical and chemical characteristics to the compound being analysed.
  • Internal Standard must be ideal, inert to the sample and must not react with the sample which is to be analysed or any of solvents used to dilute or being used in GC analysis.

Calculation:

RRFA = Response factor A / Response factor IS

RRFB = Response factor B / Response factor IS

What is Relative Response Factor (RRT) and Relative Retention Time (RRF) in HPLC?

ObjectsRRFRRT
Full NameRelative Response FactorRelative Retention Time
Use in HPLCThe RRF method is used to compensate for differences in detector response between contaminants and the analyte peak.The relative retention time (RRT) is the comparison of the Retention Time (RT) of one compound to another
Calculation FormulaRelative Response Factor (RRF) = Response Factor A / Response Factor B  Relative Retention Time (RRT) = RT for Internal Standard/RT for Substance A

What is the difference between Retention time (RT) and Relative Retention Time (RRT)?

  • The RT means, in which time the main principle peak of substance is retained in minutes called as Retention time (RT)
  • Whereas the Relative Retention Time (RRT) stands for which time the impurity peaks are retained before and after the main principle peak and that retention time of impurity peaks is called RRT, i.e. relative retention time RRT to the base of main peak RT.
  • The relation between Retention time (RT) & Relative Retention Time (RRT) is always the main peak RRT is 1.0 and the impurity peak

RRT = IMPURITY PEAK RT / MAIN PEAK RT.

For example:

The main “XYZ”-peak RT is 15 min. and the “ABC”-Impurity RT is 5 min,
The RRT of “XYZ”-Peak =15/15 = 1
The RRT of “ABC”-Impurity peak = 5/15 = 0.333

Related: Difference Between Stationary Phase and Mobile Phase, Difference Between Isocratic and Gradient Elution

Read More:

You cannot copy content of this page